Search

How To Use The Memory Palace Technique For Math In 8 Steps

Anthony Metivier with a copy of math hacksThere are several useful ways to use the Memory Palace technique to learn math.

I’ve used it personally for everything from the history of math, to math terminology, symbols, geometry facts and equations.

And I’ve helped many others use the technique successfully too.

But there are also several pitfalls and misunderstandings when it comes to enhancing your retention of information related to math that we need to weed out.

For example, what is “math”?

What kind of specific information within this vast area of knowledge do you need to remember?

And when does understanding the specific mathematical principles you need to complete your goals beat the ability to mechanically recite mechanical formulas?

There are clear and definite answers to these questions.

Along with fun and reliable ways to use Memory Palaces to memorize just about anything related to math.

You just need to know:

  • How to use the Memory Palace technique for math effectively and efficiently
  • When to use it for math in the first place as compared to when other accelerated learning techniques might serve you better

We’re going to cover these questions before we get to exactly how to set up your first Memory Palace for math. That way, you’ll be able to hit the ground running and maximize your success from the get-go.

Ready for a deep tutorial on all things math and memory with specific Memory Palace examples for words, numbers and equations?

Let’s dive in!

The 4 Main Benefits Of Using The Memory Palace Technique For Math

To get the best possible results, the Memory Palace technique needs to be understood as a tool for spaced repetition.

Why?

Because so many people seem to have the Sherlock Holmes myth in mind when it comes to this powerful ancient memory technique.

For example, the Sherlock Memory Palace concept is basically good. But it falls apart when you fall for the idea that a Memory Palace is some kind of storage mechanism. When Sherlock says, “I must go to Mind Palace,” this action completely misunderstands and misrepresents how this particular mnemonic device works and why it’s so useful.

One: Used Correctly The Memory Palace For Math Provides Long-Term Recall

You don’t want to have to “go” to a Memory Palace at all once you’ve used a Memory Palace for math. That would be ridiculously inefficient.

Instead, you want the information in long-term memory. You want it to leap to mind instantly, or near-instantly whenever you need it.

That’s why the Memory Palace is generally at the top of the hierarchy when it comes to all other memory techniques.

Please make sure to read the tutorial below in full so you don’t make the mistake of using it for any purpose other than retaining information for the long haul.

Two: You Can Learn Key Math Facts Much Faster

People have used mnemonics in math for a very long time across the world. Mnemonics for trigonometry, for example, involve a lot of acronyms. These acronyms are specifically geared towards helping students remember trigonometric identities and relationships between trigonometric functions.

To give you a sense of just how far the use of mnemonics for math goes, check out the The Life and Letters of Lewis Carroll. He not only wrote the Alice in Wonderland books, but also guides on math and logic which included his version of the Major System. (Sometimes called the Major Method, which is my preference.)A common approach to the Major Method, using numbers paired with letters.

The only problem with the mnemonics-only approach is that a jumble of acronyms can feel messy in the mind. It’s also not clear how to used proper spaced repetition for such mnemonics, no matter how temporarily helpful they might be.

The Memory Palace technique solves this issue, especially for committing lots of math-related acronyms and acrostics to memory.

Three: You Can Rapidly Commit Symbols To Memory

A lot of math relies on the Greek alphabet.

Several of my students watched this tutorial on how to commit the Greek alphabet to memory with a Memory Palace. Instead of wasting days and weeks on the task, or even bothering with Anki or flash cards, they managed to commit all of the sounds and symbols to memory within mere hours.

Learning faster is one of the best benefits on offer. So if learning faster is important to you, use a Memory Palace for tasks like committing mathematical symbols to memory.spiral numbers

Four: You Can Practice Memorizing Numbers With Fun Challenges

Did you know that Akira Haraguchi successfully memorized 100,000 digits of pi?

He did it using the Japanese version of the Major System Lewis Carroll talked about being so important to his ability to remember math facts.

Memorizing pi using mnemonics is so widespread that it even has a name: piphilology.

Some people memorize a few dozen digits of pi use pure linking or the story method. That’s pretty rare, however.

Most of my students use the Memory Palace method for memorizing pi that I share in this tutorial.

Beyond these four benefits, by adopting the Memory Palace technique, you will:

  • Practice improving your problem-solving skills
  • Boost your confidence with both memory and math
  • Enhance your overall cognitive development
  • Create the ability to recall certain formulas you need handy

With all these benefits in mind, let’s get into the tutorial.

How To Develop Your First Memory Palace For Math In 8 Steps

As we’ve seen, there are different tasks involved in learning various aspects of math.

I’ve personally learned a fair amount of geometry from some of John Michael Greer‘s work, both the names of various shapes and how they look.

Although I’ve never memorized pi, which is a task involving a long string of digits, I have memorized formulas, particularly on live streams to help people realize just how easily it can be done.

The key is to understand is that there’s no special type of Memory Palace for math. You just need well-formed Memory Palaces. Period.

It’s what you do inside of the Memory Palaces that makes the specific information you need for math stick. I’ll discuss that more once you’ve got a well-formed Memory Palace created.

Step One: Pick A Suitable Location

Memory Palaces are not meant to create cognitive load. They’re meant to reduce it.

That’s why you should pick one based on a familiar location, ideally an indoor location in the beginning. That way, you can use your spatial memory on the strongest basis possible: the simple fact that the room has four walls and four corners.

Here’s me in one of my Memory Palaces with numbers to indicate the “Magnetic Stations” or loci. (I’ll explain the numbering in the next section.)

Anthony Metivier Berlin Memory Palace Alan Photo Periodic Table

To make sure that you are basing your Memory Palace only on what you remember, I suggest you make a quick drawing of the space you choose.

Not art.

Just a quick sketch. Like this example from one of my students in the Magnetic Memory Method Masterclass:

Memory Palace Example for housing Morse Code Mnemonics

Completing this simple step will help solidify the path you follow through the Memory Palace based on what is sometimes called the journey method.

Basically, the journey method means the same thing as the Memory Palace, but it’s worth thinking through some of the differences, especially if you want to base your Memory Palaces on outdoor locations – something I don’t recommend in the beginning for most people.

Step Two: Identify Your Stations

The reason I suggest indoor locations is because it makes it easier to rapidly create the Memory Palace and start using it.

As you can see in the student example above which was used to memorize the math-related Morse Code System, each station is build mostly on walls and corners.

This makes it easy to use logic first and foremost, rather than the visual aspect of mnemonics that many people struggle with.

Step Three: Practice The Memory Palace Before Encoding Anything

After quickly sketching out your journey on a station-by-station basis, close your eyes and wander the Memory Palace forward and backward.

This only takes a second and will help ensure you weed out any potential issues.

The last thing you want later is to have to fiddle around with your Memory Palace.

No. You just want to use it to encode whatever math you want to learn.

Step Four: Select And Organize Your Target Math “Wish List”

Before memorizing anything, you’ll want to choose only the most important math facts, figures and formulas.

This step is important because it’s so easy to get overwhelmed. Even though you might feel like you have to rush and know it all, please know that reducing things to essentials is one of the best memory hacks you can use.

Trying to memorize it all usually leads to disaster.

For example, when I was working with Greer’s sacred geometry materials, I chose to start with just ten of the most interesting and important shapes and principles.

Had I just gone off the deep end and tried to memorize every detail he provides, I would have quickly grown frustrated.

Instead, I arranged the geometrical shapes alphabetically and started with the first ten in a single Memory Palace. This particular Memory Palace started with a dodecahedron on stations one and two. Example of a mnemonic image for dodecahedron in a math Memory Palace

In this case, the core image was a dodo bird with a deck of cards standing on an object shaped like a dodecahedron.

I just kept building new geometrical forms into the Memory Palace from there, while also building in useful facts to each figure over time.

Step Five: Make Sure Your Information Is Accurate

It’s critical to ensure that the math you memorize is accurate. When I created a mnemonic example based on a formula for a reader of this blog for my tutorial on how to memorize a textbook, the formula he submitted was inaccurate.

This creates a tragic problem because even though I was able to memorize the formula he submitted with 100% accuracy, it isn’t correct. So double-check that whatever math information you’re memorizing comes from a good source.

A final point when it comes to gathering and organizing the math you need to memorize has to do with understanding. Some people say that you should only memorize information that you understand. I took this point to task in this video about incorrect things memory experts say.

In reality, many of use increase our speed of learning and comprehension by memorizing what we don’t understand and then using reflective thinking. Memorizing and then thinking about the information on the basis of having it in memory is a powerful way to speed up your path to understanding some of the most challenging mathematical concepts. I’ve used this approach a lot to help me understand ideas in physics, for example.

Step Six: Be Prepared With Your Mnemonic Images In Advance

Apart from not having clear goals and organizing the different kinds of information so you’re ready to memorize using the Memory Palace, there’s one other major problem people face.

They don’t have mnemonic images. As a result, they struggle to rapidly assign associations to vocabulary, concepts, symbols and numbers.

To make sure you don’t have this problem, make sure you understand the following mnemonic devices:

These mnemonic systems are essential for memorizing math of all kinds.

For example, if you need to memorize the multiplication table, you can use numbers rhymes inside a Memory Palace to complete the task much faster.

Or, let’s say you have to memorize an algebraic expression like a2 – b2 = (a – b)(a + b). You’ll want to set up your peg words in advance so you instantly have a mnemonic image for each alphabetical letter.

Likewise if you need to memorize a formula with Greek characters like ε = ΔL/L. You’ll need to have images ready to go to place in your Memory Palace.

Most people can develop each of these systems within an afternoon or two.How to Memorize Math, Numbers, Simple Arithmetic and Equations Store Image

Step Seven: Add Mnemonic Images And Pair Them To The Mathematical Information You Want To Learn

This step is a bit tricky because your success with it relies on understanding a few other techniques that mnemonists use within their Memory Palaces.

Some mnemonists like Alex Mullen might not even use Memory Palaces at all for some formulas, as he explains here. However, Mullen definitely use the Memory Palace technique for memorizing strings of numbers and other learning tasks. As he’s discussed with me, the Memory Palace is just part of his overall approach, and you need to understand that how he approaches memory competition is different than how he memorizes the medical terminology related to his career in this field.

It’s important to understand these differences because inside individual Memory Palaces, you will need to decide what you want to memorize and make sure it’s appropriate for the technique.

In the case of the dodecahedron example you see above, the Memory Palace was the perfect tool because I wanted to memorize a list of information and then use both the list and the Memory Palace to help expand my knowledge of geometry over time. The precise mathematical facts in this case involved:

  • Memorizing the vocabulary term for the name of the geometrical form
  • Memorizing the number of its surfaces
  • Other facts, such as the difference between the dodecahedron and the icosahedron

The additional information was added either directly onto the original mnemonic image, or further along the Memory Palace journey.

There is no perfect way to compound more information to a mathematical fact you’ve established in a Memory Palace. You just need to dive in, experiment and follow the core principles, especially the next step in the process.

Step Eight: Use The Memory Palace For Spaced Repetition

Let’s say that you’ve memorized ten math facts, equations or terms in a Memory Palace.

Although it would be nice if there was a way to visit the information once and get it into long-term memory, this desire isn’t realistic. You need to use the Memory Palace to revise or revisit each piece of information.

Make no mistake: Memory champions can store astonishing amounts of information in short-term memory. But that’s thanks to how mnemonics interact with working memory in the short period of time memory athletes need to retain the information for testing.

The best memory athletes like Don Michael Vickers will tell you that without some kind of spaced repetition, they won’t remember the information from competition. Not even if they won.

So how do you use spaced repetition in combination with the Memory Palace technique to establish long-term retention?

Revisit each station in the following orders:

  • Beginning to end
  • End to beginning
  • Middle to beginning
  • Middle to end
  • Skip the stations

For more on how to do this, watch the following deep-dive video tutorial on spaced repetition:

Remember that the exact nature of the information doesn’t matter. Spaced repetition is needed no matter what you’re memorizing. It’s a form of self-testing, and to make it even more effective, as you go through your Memory Palace to trigger off the mnemonic images, write down the target information.

Now that you understand the steps involved, let’s look at an example of a formula.

Detailed Example Of Using A Memory Palace To Memorize A Formula

There are many situations in which you’ll need to memorize formulas – everything from accounting tasks to mixing drinks or converting kilometres to miles require them.

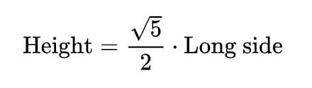
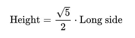
For this example, let’s stick with our dodecahedron. Here’s part of a formula to show the face of a perfect crystal:

measurement formula related to working with a dodecahedron in a Memory Palace for math

I’ve chosen this example because it involves words, symbols and numbers.

All you need is a well-formed Memory Palace and the best possible mnemonic images for the job.

Mnemonic example of using a Memory Palace to memorize a mathematical formula

In the Memory Palace example above for this formula, the mnemonic images are:

  • Jonathan Heidt for the word “height”
  • A root beer for the root symbol
  • A seahorse for five
  • A swan for two
  • Justin Long for “long side”

Although you might not know these public figures or feel that a seahorse resembles five and a swan looks like a two, your goal is to develop personal mnemonic systems that do provide you with associations that made sense.

Without them, you will struggle to use the Memory Palace technique to memorize math.

Don’t worry. It just takes a small amount of time to develop your personal mnemonic systems and start practicing them. And rest assured that the memory science shows just how important this form of personalization is for establishing rapid recall. The term scientists use to describe the importance of personalization is active recall.

Get Started Using The Memory Palace Technique For Math Today

Now that you understand the process, practical application and deliberate practice is all you need. This is important because using a Memory Palace is a skill.

And it has been used for math for a very long time. For example, Giordano Bruno used Memory Palaces to help him correctly work out certain astronomical principles during the Renaissance. As Hilary Gatti shows in Giordano Bruno and Renaissance Science, it is precisely because Bruno memorized mathematical concepts and reflected on them that the arrived at such astonishing understandings during his time.

You can too, though it’s also okay to just focus on passing your exams.

If you need more help with developing Memory Palaces for math, get my free course here:

Free Memory Improvement Course

It will help you though four free videos and worksheets. They walk you through the Memory Palace creation process in greater detail, including how to find enough Memory Palaces for the vast amounts of information related to math.

Again, the key is to be prepared with all of the main mnemonic techniques in advance. As you’ve learned today, Memory Palaces are just part of the “equation.” You also need to include mnemonic images and use the Memory Palace as a means of revisiting your associations.

You can definitely use associations on their own, but that makes spaced repetition difficult. And that means it will be difficult to scale the amount of mathematical information you can memorize at a reasonable speed. And you will want to move quickly, especially if you’re also learning programming using the Memory Palace technique.

So what do you say?

Are you ready to put some math facts and equations in your first Memory Palace?

Make it happen!

Leave a Reply

Your email address will not be published. Required fields are marked *

I accept the Privacy Policy

WANT TO LEARN SIMPLE EVERYDAY THINGS WITHOUT FORGETTING?

Enter your email below to get instant access to my FREE course that gives you a proven step-by-step process for remembering anything you want. You'll discover how to:

  • Speak any language fluently
  • Recall complicated formulas, math equations, or numbers.
  • Master the technical terms for your field of work or study.
  • Recite poetry, jokes, and even long speeches word-for-word
  • Quickly absorb the most important ideas from books, textbooks, or lectures...

Unlock your natural ability to learn and remember anything 3x faster now!

ABOUT ANTHONY METIVIER


Anthony Metivier is the founder of the Magnetic Memory Method, a systematic, 21st century approach to memorizing foreign language vocabulary, names, music, poetry and more in ways that are easy, elegant, effective and fun.

Dr. Metivier holds a Ph.D. in Humanities from York University and has been featured in Forbes, Viva Magazine, Fluent in 3 Months, Daily Stoic, Learning How to Learn and he has delivered one of the most popular TEDx Talks on memory improvement.

His most popular books include, The Victorious Mind and… Read More

Anthony Metivier taught as a professor at:

Remembering & Recalling Critical Information Becomes Easy With This...

Stop needlessly forgetting! Enter your email below to get instant access to my exclusive course that will show you how to MASSIVELY improve your memory so you can remember important conversations, what you read, and even learn new skills.